Notice
Recent Posts
Recent Comments
Link
«   2025/10   »
1 2 3 4
5 6 7 8 9 10 11
12 13 14 15 16 17 18
19 20 21 22 23 24 25
26 27 28 29 30 31
Archives
Today
Total
관리 메뉴

코딩로그

[대학수학] 여러 가지 함수 본문

YJ/대학수학

[대학수학] 여러 가지 함수

Team DAON 2022. 9. 8. 00:37

[여러 가지 함수]

  • 우함수, 기함수

[그림] 우함수, 기함수

우함수
- even function
- y축 대칭의 형태를 가지는 함수
- 함수가 짝수 제곱의 항으로 이루어져 있음
- -x, x에서의 함숫값이 항상 같으므로 y축 대칭인 그래프의 형태
- 함수 f : R → R가 임의의 실수 x에 대해 f(-x) == f(x)일 때 f

기함수
- odd function
- 원점 대칭의 형태를 가지는 함수
- 함수가 홀수 제곱의 항으로 이루어져 있음
- x, -x에서의 함숫값이 절댓값은 같고 부호만 반대이므로 원점에 대칭인 그래프의 형태
- 함수 f : R → R가 임의의 실수 x에 대해 f(-x) == -f(x)일 때 f

  • 대수적 함수
    • f(x) = C, (C는 상수)인 상수함수와 f(x) = x인 항등함수에 대수적인 연산을 유한 번 적용하였을 때 얻는 함수
      • 대수적 연산 → 사칙연산, 거듭제곱, 거듭제곱근 등
  • 다항함수
    • polynomial function
    • 함수 f(x)가 x에 대한 다항식일 때, y = f(x)
      • a0 != 0이면 이 다항함수 f → n차 함수

[그림] n차 함수

  • 분수함수
    • f(x) = p(x) / q(x),  (q(x) != 0)
    • 두 가지 함수를 분수 형태로 나타낸 함수
  • 유리함수
    • 다항함수 + 유리함수

[그림] 유리함수

유리함수
- 함수 y = f(x)에서 f(x)가 x에 대한 유리식일 때, y = f(X)
- 분모가 0이 되는 x 값은 정의역에서 제외

- 유리함수 f(x) = p(x) / q(x)는 분모의 q(x)가 0이 아닌 상수함수이거나
  p(x)가 q(x)로 나누어 떨어지면 다항함수, 그렇지 않으면 분수함수
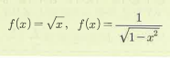
  • 무리함수
    • 유리함수와 배타(exclusive)적 관게에 있는 함수

[그림] 무리함수

무리함수
- 함수 f(x)가 x에 대한 무리식일 때, y = f(x)
- 근호 내에 x에 관한 식이 존재하는 함수

'YJ > 대학수학' 카테고리의 다른 글

[대학수학] 수열의 극한  (0) 2022.09.15
[대학수학] 초월함수  (0) 2022.09.09
[대학수학] 함수의 연산  (0) 2022.09.07
[대학수학] 전단사함수와 역함수  (0) 2022.09.07
[대학수학] 함수의 정의  (0) 2022.09.07